Download

ORIGINAL ARTICLE

Ultraviolet radiation as a potential non-thermal preservation method for sugarcane juice: microbial safety, quality retention, and shelf-life extension

Saeid Jafari1,2, Thanapat Trairattanasak1, Nathaphat Wattanalekawong1, Mohammad Fikry3, Isaya Kijpatanasilp1, Ebtihal Khojah4, Khadija S. Radhi4, Nabila Y. Mahmoud Abdulmaguid4, Dharmendra K. Mishra2, Kitipong Assatarakul1*

1Department of Food Technology, Faculty of Science, Chulalongkorn University, Bangkok, Thailand;

2Department of Food Science, Purdue University, 745 Agriculture Mall Dr, West Lafayette, IN, USA;

3Date Palm Research Center of Excellence, King Faisal University, Al-Ahsa, Saudi Arabia;

4Department of Food Science and Nutrition, College of Sciences, Taif University, Taif, Saudi Arabia

Abstract

This study explored ultraviolet (UV) treatment effects on sugarcane juice at doses of 0.00–149.76 J/cm2. The most effective dose (149.76 J/cm2) was selected for balancing microbial reduction (≈ 2–3 log) with quality attribute of preservation and compared to pasteurized and untreated samples. A first-order kinetic model accurately described microbial reduction (R2 = 0.9039–0.9057; k = 0.0093–0.0442 day–1). Physicochemical properties showed no significant differences (P > 0.05) between treatments. UV treatment enhanced total phenolic content (TPC), total flavonoid content (TFC), and antioxidant activity (2,2-diphenyl-1-picrylhydrazyl [DPPH] and ferric reducing antioxidant power [FRAP] assays), compared to pasteurization (P ≤ 0.05). During refrigerated storage (4°C), pH, total soluble solids, L*, TPC, TFC, DPPH, and FRAP decreased, while titratable acidity, a*, and microbial counts increased, particularly in untreated juice samples. UV-treated juice achieved 6 days shelf life versus 4 days for controls, based on microbial limits (5 log CFU/mL total plate count; 4 log CFU/mL yeast and mold). Pasteurized juice showed no microbial growth over 12 days. Compared with pasteurization, UV-C irradiation better preserved bioactive compounds, although limited penetration in turbid juice samples requires further study.

Key words: microbial safety, non-thermal processing, preservation, shelf life extension, sugarcane juice

*Corresponding Author: Kitipong Assatarakul, Department of Food Technology, Faculty of Science, Chulalongkorn University, Bangkok 10330, Thailand. Email: [email protected]

Academic Editor: Walid Elfalleh, PhD, Department of Biology, College of Science, Imam Mohammad Ibn Saud Islamic University (IMSIU), Riyadh 11623, Saudi Arabia & Higher Institute of Applied Sciences and Technology of Gabes (ISSATGb), Tunisia

Received: 10 September 2025; Accepted: 17 February 2026; Published: 3 April 2026

DOI: 10.15586/qas.v18i2.1612

© 2026 Codon Publications
This is an Open Access article distributed under the terms of the Creative Commons Attribution-NonCommercial-ShareAlike 4.0 International (CC BY-NC-SA 4.0). License (http://creativecommons.org/licenses/by-nc-sa/4.0/)

Introduction

Sugarcane juice, derived from the pressed stalks of -sugarcane, is a popular beverage cherished for its natural sweetness and perceived health benefits because of vitamins, carbohydrates, and phytochemicals (Arif et al., 2019). Sugarcane juice is a widely consumed beverage, particularly in tropical regions such as Southeast Asia, India, and Latin America, with a growing international market driven by demand for natural and functional beverages. In Thailand, the national market for -sugarcane juice is robust, with an estimated annual production of over 100 million liters, primarily sold through street vendors and local markets (Yingkamhaeng and Vanichsriratana, 2024). Globally, the market is expanding, with exports from countries such as Brazil and India reaching USD 50 million annually (Food and Agriculture Organization [FAO], 2023). Sugarcane juice is valued for its hydrating properties and rich content of vitamins, minerals, and antioxidants, which may support energy replenishment and immune function (Arif et al., 2019). However, its high sugar content (approximately 13–15 g/100 mL) necessitates moderation, particularly for individuals with diabetes or those prone to dental caries. Additionally, improper storage can lead to microbial contamination, posing health risks (Kaavya et al., 2019).

Pasteurization, as a thermal processing method, effectively eliminates harmful microorganisms while preserving the safety of juices (Ceballos et al., 2025). Although thermal processing, such as pasteurization, is for preserving juices by eliminating microorganisms during storage, it often compromises nutritional value and reduces the retention of phenolic compounds. Moreover, thermal methods can induce undesirable alterations in aroma, taste, and color, compromising consumer acceptability (Wai et al., 2024). The exploration of non-thermal technologies presents an intriguing avenue for extending the shelf life of juices while better preserving their quality compared to traditional heat treatment. These methods, including ultraviolet (UV) irradiation, high-pressure processing (HPP), pulsed electric fields (PEF), ultrasound, and microfluidization, offer promising preservation strategies.

Ultraviolet irradiation is particularly appealing due to its cost-effectiveness and minimal impact on heat--sensitive nutrients (Ceballos et al., 2025). Its efficacy has been demonstrated in prolonging the shelf life of numerous fruit juices, including apple, mango, tangerine, and longan, by minimizing enzymatic activity and preserving fresh-like qualities during storage (Assatarakul et al., 2012; Kijpatanasilp et al., 2023a, 2023b; Wai et al., 2024). Recent reviews have further confirmed its promise for extension of shelf life (Koutchma, 2022; Mansur et al., 2023). Other non-thermal techniques have also shown significant success. HPP effectively inactivated microorganisms in orange juice while preserving its sensory attributes (Dhenge et al., 2022), and PEF maintained the nutritional quality of apple juice with significant microbial reduction (Aguilar-Rosas et al., 2007). Ultrasound processing has been shown to enhance microbial safety and retain bioactive compounds in strawberry juice (Feng et al., 2022; Tiwari et al., 2009). Furthermore, microfluidization, especially when combined with natural antimicrobials, such as nisin, achieved complete microbial reduction and extended the shelf life of sugarcane juice to 56 days (Kohli et al., 2019). These technologies can be effectively applied individually or in combination with UV irradiation. The potential of combining techniques, such as thermosonication, with advanced packaging strategies can further boost product quality and storage stability, as observed in sugarcane juice (Adulvitayakorn et al., 2020). This collective evidence warrants further comparative studies to optimize these non-thermal strategies for preservation of juice.

Although previous studies, as mentioned earlier, have addressed related topics, limited research has directly compared UV treatment and pasteurization for preserving sugarcane juice. To address this gap, the present study assessed how these two processing methods influence attributes of sugarcane juice. Furthermore, the effects of refrigerated storage on these qualities were analyzed, with a focus on determining and comparing the shelf life of UV-processed and pasteurized samples. This investigation also aimed to explore potential applications in developing functional beverages using sugarcane juice.

Materials and Methods

Sample collection and juice preparation

Fully matured sugarcane stalks were obtained in Bangkok, Thailand, in March 2023. The sugarcane stalks (~20 kg) were rinsed under running water to remove dirt and peeled off using a knife or peeler to expose the juicy core. Subsequently, they were cut into smaller pieces suitable for juice extraction. The small pieces were passed through a VEVOR electric sugarcane juicer, and the extracted juice was collected in stainless steel containers. The extracted juice was filtered through four layers of cheesecloth to eliminate suspended solids and then centrifuged at 8,000×g for 10 min at 4°C to obtain clarified juice. Then the clarified juice was utilized for subsequent processing steps.

UV-C sterilization and pasteurization treatments

Ultraviolet-C (UV-C) radiation treatment was performed using a custom-designed continuous-flow UV-C system specifically constructed for liquid food processing. The system consisted of a diaphragm pump (model DP-100, 220 V, 50 Hz; AQ&Q, China) that delivered sugarcane juice at a constant volumetric flow rate of 20.8 mL/s (corresponding to a residence time of approximately 11.8 s in the irradiation zone, calculated from chamber volume and flow rate). The irradiation chamber was a stainless steel cylindrical vessel (internal diameter 6.0 cm, length 30.0 cm) housing a single low-pressure mercury vapor UV-C lamp (TUV 6W; Philips, The Netherlands) emitting primarily monochromatic radiation at 253.7 nm (peak wavelength). The lamp was encased in a high-purity quartz sleeve (outer diameter 2.0 cm, wall thickness 1.5 mm, and effective length 24.5 cm) positioned concentrically along the longitudinal axis of the chamber. This configuration created an annular flow path with an effective optical path length (annular gap) of 1.87 cm (calculated as follows: [Chamber inner radius − quartz sleeve outer radius] = [3.0 cm − 1.0 cm] = 2.0 cm), adjusted for actual flow geometry and boundary layer effects to 1.87 cm, as determined in prior validation studies (Kijpatanasilp et al., 2023a).

The nominal UV-C output of the lamp was 6 W (manufacturer specification at 254 nm under standard operating conditions). The emitting surface area of the quartz sleeve was calculated as the lateral cylindrical surface:

Surface area = 2πrh = 2 × 3.1416 × 1.0 cm × 24.5 cm = 153.86 cm2.

This yielded a theoretical average intensity at the quartz surface of 6 W ÷ 153.86 cm2 = 0.039 W/cm2 (or 0.039 J/s•cm2). Actual delivered intensity was validated using a calibrated UV-C radiometer (ILT950; International Light Technologies, Peabody, MA, USA) equipped with a narrow-band 254-nm sensor (calibration traceable to the standards of the National Institute of Standards and Technology [NIST], performed within 6 months prior to the experiments). Intensity measurements were conducted at multiple points along the annular flow path (at inlet, middle, and outlet positions) under static (no-flow) and dynamic (flowing juice) conditions to account for potential attenuation and lamp warm-up effects. The radiometer readings confirmed an average incident intensity of 0.038–0.040 J/s•cm2 at the quartz surface, with less than 5% variation across the measured positions.

UV dose (fluence, J/cm2) was calculated as follows:

UV Dose = Intensity (J/s•cm2) × exposure time (s)

Exposure time was determined from volumetric flow rate and effective irradiated volume of annular space (~245 mL). Doses ranging from 0.00 to 149.76 J/cm2 were achieved by varying exposure time (multiple passes through the chamber at constant flow rate). All reported doses represent cumulative fluence based on the validated average intensity. The system was cleaned before and after each experimental run with 70% (v/v) ethanol, followed by sterile distilled water flushing (minimum 5 min each) to prevent cross-contamination. Lamp performance was monitored by periodic intensity checks (every 3–4 runs or after approximately 8 h of cumulative operation) using the ILT950 radiometer; any drop >10% from initial validated value triggered lamp replacement or sleeve cleaning. Age of lamp at the start of the experiments was <300 operating hours.

Pasteurization was performed on 100-mL juice aliquots heated to 72°C for 1 min in a thermostatically controlled water bath (Memmert model WNB 7-45), followed by immediate cooling to 25 ± 2°C in an ice-water bath. This mild high-temperature short-time (HTST)-like condition (72°C/1 min) was selected as a reference thermal treatment to provide effective microbial inactivation while limiting excessive thermal degradation of heat-sensitive bioactive compounds; it is milder than many reported industrial pasteurization protocols for sugarcane juice (typically 85–95°C for 25–40 s) (Adulvitayakorn et al., 2020; Kaavya et al., 2019). All treatments (UV-C and pasteurization) were performed in triplicate.

Microbial analyses

Samples were incubated at room temperature for 12 h post-treatment to allow potential recovery and growth of sub-lethally injured cells, simulating realistic spoilage risks in freshly extracted juice (common practice in juice microbial studies; e.g., Kijpatanasilp et al., 2023a). This duration was chosen based on preliminary trials showing detectable growth without excessive overgrowth. In brief, the samples were diluted stepwise using 0.1% (w/v) sterile peptone water. For microbial enumeration, total viable counts were determined by the pour plate method, using 1 mL of an appropriately diluted sample with plate count agar (PCA) and incubated at 37°C for 48 h. Yeast and mold were quantified using the spread plate method on potato dextrose agar (PDA) acidified with 10% tartaric acid (final pH = 3.5 ± 0.1), followed by incubation at 25°C for 5 days.

Determination of characteristics of treated sugarcane juice

The pH of samples was measured using a Mettler Toledo S220 pH meter. Titratable acidity (%) was analyzed via titration with sodium hydroxide based on the Association of Official Analytical Chemists (AOAC, 2000) procedure, as described by Kijpatanasilp et al. (2023a). Color attributes were assessed at room temperature using a Minolta chroma meter (CR-300 series; Japan) under the International Commission on Illumination (CIELAB) system. Total colour difference (ΔE) was computed using Equation (1).

ΔE=ΔL2+Δa2+Δb2 1

In this equation, ∆L, ∆a, and ∆b represent differences between the initial value and the measured value of samples.

Determination of functional characteristics of treated sugarcane juice

Determination of functional characteristics, including total phenolic content (TPC) using the Folin–Ciocalteu method, total flavonoid content (TFC) using the aluminum chloride colorimetric method, and antioxidant activities (2,2-diphenyl-1-picrylhydrazyl [DPPH] and ferric reducing antioxidant power [FRAP] assays), were conducted by following the procedures detailed by Jafari et al. (2022). Results for TPC and TFC were expressed as mg gallic acid equivalent (GAE) per liter and milligram (mg) quercetin equivalent (QE) per liter, respectively. Antioxidant activities were expressed as mM Trolox equivalents (TE) per 100 milliliter (mL). All assays were performed with freshly prepared standard curves (GA for TPC, QE for TFC, and Trolox for DPPH and FRAP), yielding coefficient of determination, R2 ≥ 0.995 in each case. Full calibration data and method validation parameters are available from the corresponding author upon reasonable request.

Studying shelf life during cold storage

The samples, including the control, UV-treated (149.76 J/cm2) juice, and pasteurization groups, were placed in containers and kept for 12 days at 4°C. The highest dose (149.76 J/cm2) was selected as already mentioned based on its balance between microbial reduction and minimal impact on physicochemical and functional properties, as shown in earlier results. Evaluation of microbial loads and physicochemical properties were performed every 2 days during the refrigerated storage according to the methods described earlier. The 12-day storage period was selected to capture quality changes beyond the rapid spoilage of untreated juice (typically exceeding microbial limits by day 4 in prior experiments) while allowing clear differentiation among treatments. Pasteurization showed no growth over this period, indicating potentially longer stability. The shelf life determination was performed as described previously (Kijpatanasilp et al., 2023a).

Kinetics modeling

To model changes in microbiological, physicochemical (pH and total soluble solids), and functional (TPC, TFC, DPPH, and FRAP) properties, zero- and first-order kinetic models were applied using the general rate Equation (2). For zero-order kinetic model (n = 0), Equation (3), and for first-order kinetic model, Equation (4) were used as follows:

dcdt=kCn 2
C=C0±kt 3
ln C=ln C0±kt 4

where C is the property value at time t (days), C0 is the initial value, k is the reaction rate constant (day), and ± indicates formation (+) or degradation (-). Zero- and first-order kinetic models were selected, as they are the most fundamental and widely applied models for describing quality degradation in foods, covering scenarios where the reaction rate is either concentration--independent or concentration-dependent, respectively. Experimental data were fitted to these equations using least-squares regression in Microsoft Excel (Version 16.78). The coefficient of determination (R2) was calculated to assess model fit, with R2 ≥ 0.90 indicating a strong fit. The best-fitting model (zero- or first-order kinetic model) was selected based on the highest R2 value for each property, as reported in Table 5.

Table 1. Ultraviolet (UV) dosage calculation at different periods.

UV dosage UV dosage = intensity × exposure
Intensity (J/s·cm2) Exposure time (s)
UV 4.68 J/cm2 0.039 120
UV 9.36 J/cm2 0.039 240
UV 18.72 J/cm2 0.039 480
UV 37.44 J/cm2 0.039 960
UV 74.88 J/cm2 0.039 1,920
UV 149.76 J/cm2 0.039 3,840

Note: Intensity = total UV output ÷ surface area; surface area = 2πrh, where r = 1, h = 24.5 cm, hence, surface area = 2(3.14) (1) (24.5) = 153.86 cm2; total UV Output = 6; hence, intensity = 6/153.86 = 0.039 J/s·cm2.

Table 2. Total microbial (plate) count and yeast and mold count of sugarcane juice treated with UV irradiation.

Treatment Total plate count Yeast and mold count
Population
(log CFU/mL)
Log reduction
(log CFU/mL)
Population
(log CFU/mL)
Log reduction
(log CFU/mL)
Control 5.06a ± 0.36 0.00 ± 0.00 5.12a ± 0.32 0.00 ± 0.00
UV4.68 J/cm2 4.88a ± 0.19 0.18 ± 0.16 4.98a,b ± 0.15 0.13 ± 0.16
UV9.36 J/cm2 4.80a ± 0.15 0.26 ± 0.21 4.90a,b ± 0.15 0.22 ± 0.16
UV18.72 J/cm2 4.70a,b ± 0.11 0.36 ± 0.25 4.84a–c ± 0.15 0.27 ± 0.16
UV37.44 J/cm2 4.38b ± 0.06 0.68 ± 0.42 4.77a–c ± 0.11 0.34 ± 0.21
UV74.88 J/cm2 3.29c ± 0.18 1.78 ± 0.18 4.63b,c ± 0.02 0.48 ± 0.29
UV149.76 J/cm2 2.75d ± 0.05 2.32 ± 0.31 4.42c ± 0.07 0.70 ± 0.38
Pasteurization 1.39e ± 0.01 3.68 ± 0.36 1.32d ± 0.25 3.79 ± 0.07

Notes: Values in the table show mean ± standard deviation obtained from three replicate analyses. In the same column, superscript alphabets “a–e” denote significant differences (P ≤ 0.05).

Table 3. Physical characteristics of sugarcane juice treated with UV irradiation.

Treatment Color value Total soluble solidns (°Brix)
L*ns a*ns b* ∆E
Control 25.18 ± 0.72 –0.53 ± 0.06 3.80a ± 0.37 0.00b ± 0.00 23.50 ± 0.05
UV4.68 J/cm2 24.92 ± 0.76 –0.50 ± 0.06 3.46a ± 0.24 0.44b ± 0.13 24.00 ± 0.38
UV9.36 J/cm2 25.06 ± 0.88 –0.46 ± 0.04 3.54a ± 0.24 0.30b ± 0.18 24.20 ± 0.09
UV18.72 J/cm2 24.80 ± 0.52 –0.40 ± 0.08 3.64a ± 0.09 0.49b ± 0.07 24.23 ± 0.14
UV37.44 J/cm2 25.03 ± 0.95 –0.33 ± 0.07 3.56a ± 0.06 0.44b ± 0.20 24.20 ± 0.19
UV74.88 J/cm2 24.89 ± 0.97 –0.30 ± 0.04 3.54a ± 0.25 0.50b ± 0.18 24.40 ± 0.09
UV149.76 J/cm2 24.86 ± 0.87 –0.27 ± 0.03 3.54a ± 0.14 0.54b ± 0.17 24.77 ± 0.14
Pasteurization 23.80 ± 0.50 –0.26 ± 0.03 2.93b ± 0.05 1.69a ± 0.04 24.63 ± 0.14

Notes: Values in the table show the mean ± standard deviation obtained from three replicate analyses. In the same column, superscript alphabets “a & b” denote significant differences (P ≤ 0.05). “ns”: no significant differences (P > 0.05).

Table 4. Chemical characteristics of sugarcane juice treated with UV irradiation.

Treatment pHns Titratable acidityns
(% Malic acid)
Total phenolic
compound
(mg GAE/L)
Total flavonoid
(mg QE/L)
DPPH
(mMTE/
100 mL)
FRAP
(mMTE/
100 mL)
Control 5.22 ± 0.03 0.22 ± 0.02 867.64a ± 21.34 43.76a ± 1.78 239.21a ± 1.07 22.68a ± 0.16
UV4.68 J/cm2 5.22 ± 0.01 0.18 ± 0.02 754.96a ± 63.31 40.49a ± 2.51 228.46b–d ± 9.81 20.22b ± 0.47
UV9.36 J/cm2 5.23 ± 0.01 0.18 ± 0.01 763.87a ± 42.69 36.56a ± 0.61 232.37a,b ± 3.51 20.40b ± 1.68
UV18.72 J/cm2 5.24 ± 0.02 0.20 ± 0.03 762.92a ± 45.36 37.42a ± 1.73 230.55a–c ± 0.68 19.82b ± 0.52
UV37.44 J/cm2 5.24 ± 0.01 0.18 ± 0.03 758.68a ± 47.36 36.95a ± 0.83 226.74b–d ± 3.01 19.68b ± 0.18
UV74.88 J/cm2 5.20 ± 0.01 0.18 ± 0.02 751.60a ± 45.36 36.56a ± 0.50 226.42b–d ± 0.17 19.44b ± 0.09
UV149.76 J/cm2 5.26 ± 0.01 0.20 ± 0.03 731.32a ± 64.70 35.93a ± 0.17 221.06c,d ± 0.30 19.34b ± 0.18
Pasteurization 5.25 ± 0.02 0.20 ± 0.02 703.49b ± 64.04 28.42b ± 2.38 219.20d ± 0.89 19.18b ± 0.38

Notes. Values in the table show mean ± standard deviation obtained from three replicate analyses. Superscript alphabets “a–d” in the same column denote significant differences (P ≤ 0.05). “ns”: no significant differences (P > 0.05).

Table 5. Statistical parameters of the kinetic models used for describing changes in the properties of stored sugarcane juice.

Model Parameters pH DPPH FRAP TFC TPC Total plate count Mold and yeast count
    Control
Zero-order Co 5.22 252.6 21.4 41.5 848.3 3.1 3.3
k –0.014 –3.4 –0.3 –0.7 –12.3 0.6 0.5
R2 0.925 0.968 0.972 0.981 0.974 0.975 0.964
CI (95%) (–0.0154, –0.0126) (–3.74, –3.06) (–0.33, –0.27) (–0.77, –0.63) (–13.53, –11.07) (0.54, 0.66) (0.45, 0.55)
First-order Co 5.22 252.9 21.5 41.6 849.7 3.6 3.6
K –0.003 –0.014 –0.015 –0.02 –0.016 0.096 0.089
R2 0.924 0.975 0.966 0.986 0.978 0.985 0.963
CI (95%) (–0.003, –0.0027) (–0.015, –0.013) (–0.017, –0.014) (–0.02, –0.018) (–0.018, –0.014) (0.086, 0.106) (0.08, 0.098)
    UV–treated samples
Zero-order Co 5.2 244.6 21.1 39.4 834.3 1.5 2.7
K –0.007 –3.6 –0.3 –0.6 –12.8 0.4 0.4
R2 0.949 0.943 0.943 0.987 0.989 0.984 0.982
CI (95%) (–0.008, –0.006) (–3.96, –3.24) (–0.33, –0.27) (–0.66, –0.54) (–14.08, –11.52) (0.36, 0.44) (0.36, 0.44)
First-order Co 5.2 245.2 21.1 39.5 836 1.8 2.9
K –0.001 –0.016 –0.016 –0.017 –0.017 0.123 0.079
R2 0.949 0.988 0.937 0.989 0.993 0.933 0.984
CI (95%) (–0.001, –0.0009) (–0.018, –0.0144) (–0.018, –0.014) (–0.019, –0.015) (–0.019, –0.015) (0.111, 0.135) (0.071, 0.087)
    Pasteurization
Zero-order Co 5.217 238.6 20.7 33.9 775.9
K –0.007 –3.9 –0.3 –0.9 –13.5
R2 0.976 0.994 0.944 0.989 0.982
CI (95%) (–0.008, –0.006) (–4.29, –3.51) (–0.33, –0.27) (–0.99, –0.81) (–14.85, –12.15)
First-order Co 5.217 239.4 20.8 34.3 777.9
K –0.001 –0.018 –0.017 –0.031 –0.019
R2 0.976 0.989 0.938 0.98 0.986
CI (95%) (–0.0011, –0.0009) (–0.019, –0.016) (–0.019, –0.015) (–0.034, –0.028) (–0.021, –0.017)

Predicting the shelf life by integration of quality properties

Prediction was conducted as demonstrated in prior studies by Fikry et al. (2023). Figure 1 illustrates the approach used to evaluate the shelf life of sugarcane juice by combining quality data.

Shelf life day=CcC0k 5

where Cc is the critical concentration.

Figure 1. Methodology for predicting the shelf life of sugarcane juice using quality metrics.

Statistical analysis

Regression analysis was employed to determine how well the models represented experimental results. The most suitable model where values of R2 ≥ 0.90 indicated a strong correlation. Data were subjected to analysis of variance (ANOVA), and mean comparisons were performed using Tukey’s Honest Significant Difference (HSD) post hoc test at a significance level of P ≤ 0.05. All statistical evaluations were conducted using the SPSS software (Version 28.0; IBM, Chicago, IL, USA).

Results and Discussion

Effects of UV irradiation versus pasteurization on microbial properties and inhibition kinetics in sugarcane juice

Microorganisms significantly impact the quality of sugarcane juice, leading to deterioration. UV irradiation offers an alternative to thermal processing for reducing microbial populations (Koutchma, 2022; Mansur et al., 2023). In UV-treated sugarcane juice, total plate count ranged from 2.75 ± 0.05 to 5.06 ± 0.36 log CFU/mL, while yeast and mold count ranged from 4.42 ± 0.06 to 5.12 ± 0.32 log CFU/mL. As indicated in Table 2, at the highest UV dose (149.76 J/cm2), total plate count and yeast and mold count decreased significantly (P ≤ 0.05) with 2.32 ± 0.31 and 0.70 ± 0.38 log reduction, respectively. These outcomes are similar to the findings of Shamsudin et al. (2014) for pineapple juice. Similarly, our previous research on longan juice demonstrated that UV irradiation (0-149.8 J/cm2) effectively inhibited microbial growth and extended shelf life. The mechanism behind UV’s efficacy involves the induction of pyrimidine dimer formation between adjacent thymine and cytosine nucleotides in deoxyribonucleic acid (DNA), thereby impeding microbial replication (Weber et al., 2009). In our latest review paper, we emphasized UV irradiation with other non-thermal processing in inhibiting microbial growth in fruit products (Jafari et al., 2024). A limitation of the present study was the absence of absorbance measurements at 254 nm and turbidity, parameters known to strongly limit UV penetration in highly turbid juices, such as sugarcane (typically <1 mm for 1 log reduction in similar matrices; Koutchma, 2022).

For the kinetics of microbial suppression, the respective correlation coefficients (R2) were 0.5997 and 0.6386 for zero--order kinetic model, and 0.9057 and 0.9039 for first-order kinetic model. The rate constants (k0 and k1) for these models were calculated as 696 and 591 for zero--order kinetic model, and 0.0442 and 0.0093 for first-order kinetic model, for total microbial counts, respectively. The higher R2 values indicated that this model more accurately described the decline in total microbial counts and yeast and mold populations in UV-treated sugarcane juice. This was consistent with findings of Kijpatanasilp et al. (2023a), who studied kinetics in UV-treated longan juice (0–149.8 J/cm2). Our recent work also confirmed that microbial inactivation -followed a first-order kinetic model after UV treatment at 120 J/cm2 (Wai et al., 2024). Additionally, that study found that the rate constant for higher total microbial counts indicated greater sensitivity of total microbial populations to UV radiation. This aligned with Visuthiwan and Assatarakul (2021). Differences in susceptibility were due to cell wall structure, as bacterial cells are generally more vulnerable to UV radiation than yeasts and molds, as noted by Gayán et al. (2014).

Effects of UV radiation versus pasteurization on physicochemical properties of treated sugarcane juice

In our study, we examined the color of sugarcane juice treated with UV irradiation across varying doses (0-149.76 J/cm2), and compared it with untreated samples (control) and those subjected to pasteurization for 1 min at 72°C, using the CIELAB system. Our results revealed that sugarcane juice treated with UV irradiation exhibited L* values ranging from 23.80 ± 0.50 to 25.18 ± 0.72, a* values ranging from -0.26 ± 0.03 to -0.53 ± 0.06, and b* values ranging from 2.93 ± 0.05 to 3.80 ± 0.37 (Table 3). UV treatment did not significantly alter (P > 0.05) L* and a* color parameters. b* parameter indicates yellowness or blueness. When comparing treatments, pasteurized sugarcane juice showed reduced L* and b* values but an elevated a* value (P < 0.05), compared to UV-treated juice, resulting in a darker appearance. This color change in pasteurized juice probably stems from non-enzymatic browning processes, such as Maillard reactions and caramelization, which modify its hue (Cruz-Cansino et al., 2015). ∆E represents total color difference from the control (Equation 1); values of ≤2 are usually considered acceptable to consumers, with pasteurized sugarcane juice showing a greater difference (∆E= 1.69 ± 0.04; P ≤ 0.05) than UV-irradiated juice (average 0.45). Total soluble solids were in the range of 23.50 ± 0.05–24.77 ± 0.14 °Brix, with no significant (P > 0.05) effects between treatments.

The pH values ranged from 5.20 ± 0.01 to 5.26 ± 0.01, with titratable acidity falling between 0.18 ± 0.02% and 0.22 ± 0.02% malic acid (P > 0.05; Table 4). These findings aligned with those of Caminiti et al. (2012), who observed that UV radiation had no discernible effect on pH variation or titratable acid. UV has been reported to induce oxidation of organic acids and the breakdown of juice components, potentially causing slight pH alterations, with free radical formation contributing to changes in acidity (Ceballos et al., 2025). While the present study did not measure mineral content, organic acids, or amino acids, UV irradiation was generally reported to have minimal impact on minerals because of their stability under non-thermal conditions (Koutchma, 2022). As mentioned earlier, organic acids, such as citric and malic acid, may undergo slight oxidation under high UV doses, potentially altering pH and titratable acidity (P > 0.05), as observed in Table 4.

Effects of UV radiation versus pasteurization on functional properties of treated sugarcane juice

Functional compounds remained largely unaffected by UV treatment, although antioxidant activity (DPPH and FRAP) showed dose-dependent reduction (Table 4). Pasteurization yielded the lowest values: TPC (703.49 ± 64.04 mg GAE/L), TFC (28.42 ± 2.38 mg QE/L), DPPH (219.20 ± 0.89 mM TE/100 mL), and FRAP (19.18 ± 0.38 mM TE/100 mL). UV-treated juices generally exhibited higher antioxidant activity than pasteurized samples, suggesting better preservation of heat-sensitive compounds. The enhanced retention potentially reflects UV’s non-thermal nature, which avoids thermal degradation of phenolic compounds and flavonoids observed during pasteurization.

Mild UV treatment may also break larger polyphenolic complexes into smaller and more bioavailable forms (Wai et al., 2024). However, higher UV doses can induce partial photodegradation of sensitive phenolic compounds (Bhat, 2016), explaining the dose-dependent reduction observed. Additionally, UV-induced enzymatic activation, such as polyphenol oxidase, may generate reactive intermediates that influence antioxidant capacity (Bhat, 2016). These findings aligned with previous studies conducted for mango, tangerine, and longan juices, where UV better retained TPC and TFC than pasteurization (Kijpatanasilp et al., 2023a, 2023b; Wai et al., 2024).

The antioxidant activity decline at higher doses underscores the need to optimize UV treatment parameters. Proper packaging and storage were also crucial to minimize oxidative degradation in UV-treated juices (La Cava and Sgroppo, 2015; Ochoa-Velasco and Guerrero-Beltran, 2013). Based on these results, 149.76 J/cm2 was selected as the optimal dose balancing microbial control and quality retention for subsequent cold storage evaluation.

UV radiation effects on properties of sugarcane juice during cold storage

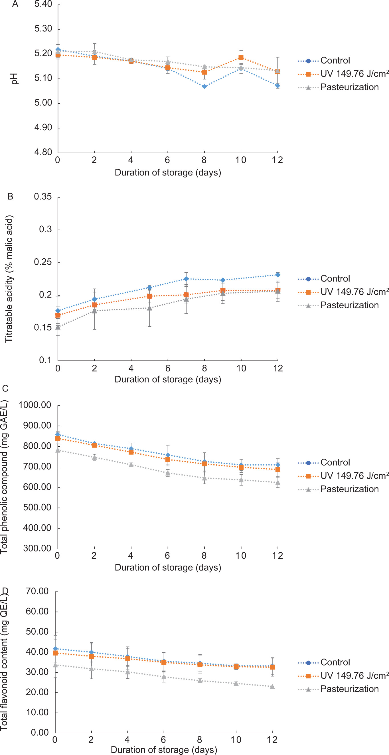
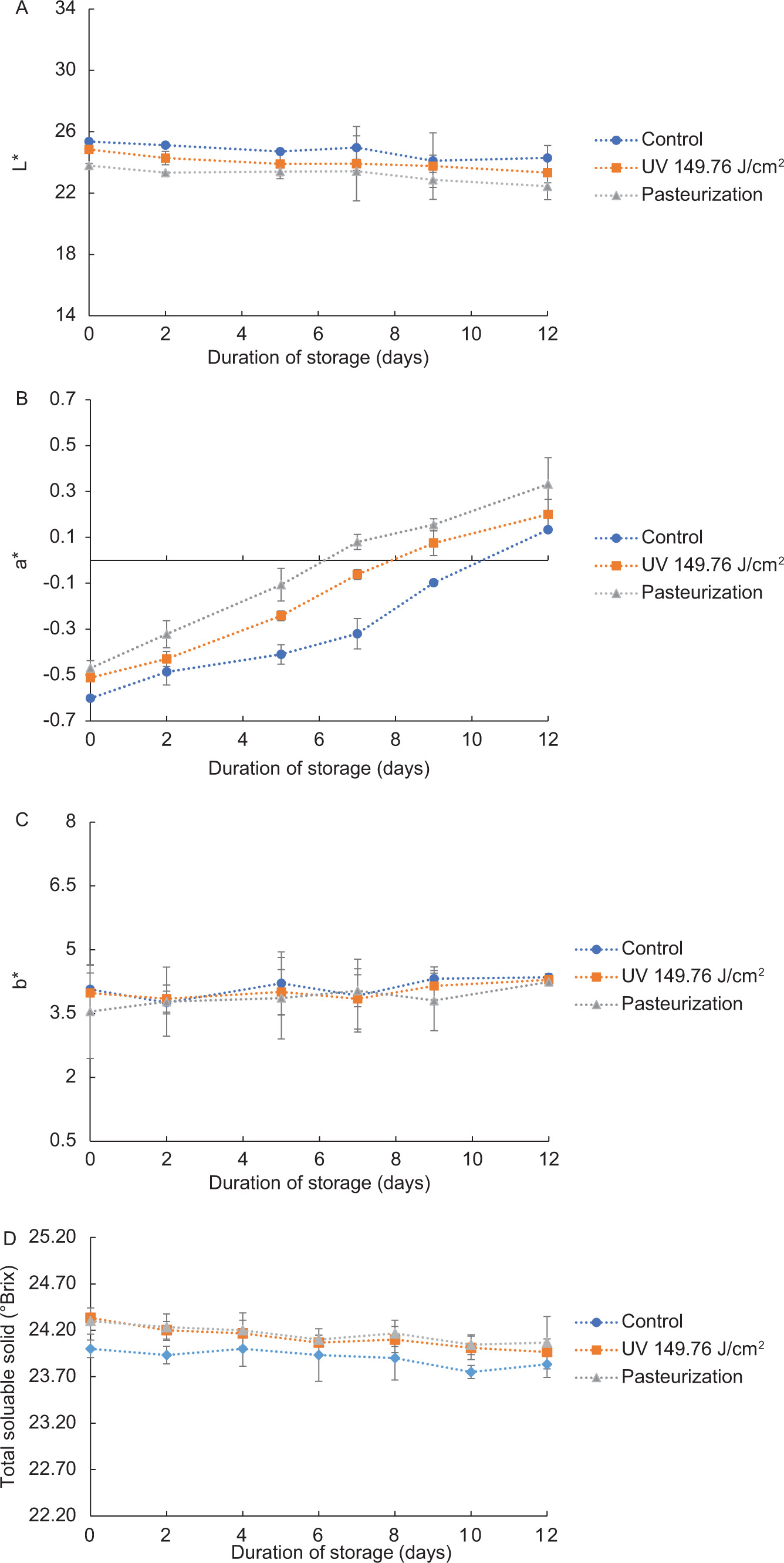
Samples (control, UV-treated, and pasteurized) were stored for 12 days at 4°C. L* values decreased, while a* and b* values increased, across all samples with storage period (Figure 2). Control samples showed the greatest color changes, whereas pasteurized samples had the least changes (P ≤ 0.05). Increasing a* and b* values potentially reflected pigment degradation or browning reactions during storage (Bhat and Stamminger, 2015). Total soluble solids declined from 23.75 ± 0.07 to 24.33 ± 0.01 °Brix with extended storage, potentially because of microbial sugar metabolism.

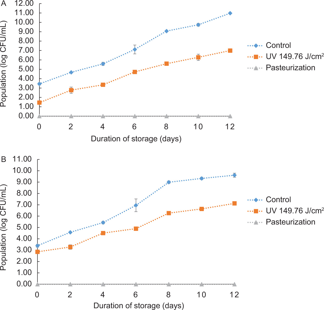
Figure 2. Changes in the physical quality of sugarcane juice treated with UV irradiation during cold storage. (A) L*, (B) a*, (C) b*, and (D) total soluble solids.

pH values decreased (from 5.07 ± 0.01 to 5.22 ± 0.02) while titratable acidity increased (from 0.15 ± 0.01 to 0.23 ± 0.01% malic acid) during storage (Figure 3), consistent with the results of Kaya et al. (2015) in lemon–melon juice blends. Microbial proliferation during storage produces organic acids, elevating titratable acidity and reducing pH (Unluturk and Atilgan, 2015).

Figure 3. Changes in the chemical quality of sugarcane juice treated with UV irradiation during cold storage. (A) pH, (B) titratable acidity, (C) total phenolic compound, (D) total flavonoid content, (E) DPPH, and (F) FRAP.

Figure 3. (Continued) Changes in the chemical quality of sugarcane juice treated with UV irradiation during cold storage. (A) pH, (B) titratable acidity, (C) total phenolic compound, (D) total flavonoid content, (E) DPPH, and (F) FRAP.

Phenolic compounds were higher in control and UV-treated samples than pasteurized samples throughout storage (P ≤ 0.05; Figure 3). Pasteurization’s lower initial values probably result from accelerated oxidation and thermal degradation of phenolic structures during heating. These findings aligned with those of La Cava and Sgroppo (2015), who reported declining phenolic compounds in stored grapefruit juice. Similarly, total flavonoid decline reflects the observations made by Visuthiwan and Assatarakul (2021) in UV-treated lychee juice over 35 days at 4°C.

UV effects on microbial properties of sugarcane juice during cold storage

Ultraviolet-C irradiation at 149.76 J/cm2 achieved a 2.32 ± 0.31 log reduction in total plate count and a 0.70 ≈ 0.38 log reduction in yeast and mold counts. This differential efficacy reflects the greater UV resistance of fungal cells compared to bacteria (Gayán et al., 2014). Despite modest yeast/mold reduction, the treatment extended refrigerated shelf life to 6 days based on combined microbial limits. This performance was competitive with some non-thermal methods, although UV is limited by poor penetration in turbid juice and absence of residual antimicrobial effects (Koutchma, 2022). For context, microfluidization combined with polypeptides achieved >6 log reduction and maintained counts to <50 CFU/mL for 56 days (Kohli et al., 2019), but required high-pressure equipment (≥150 MPa), added antimicrobials, and strict cold-chain logistics. Thermosonication extended shelf life to approximately 28 days at ≤55°C (Adulvitayakorn et al., 2020), although it induced off-flavors, color shifts, and polyphenol oxidation from cavitation-generated radicals.

High-pressure processing typically provides 5–7 log reductions with 30–90 days shelf life at 400–600 MPa; however, it operates batch-wise with equipment costs ranging USD 0.5–2 million and may induce protein coagulation in high-pectin juices (Chutia and Mahanta, 2021). Pulsed electric fields (PEF) offer 4–6 log reductions and 21–60 days shelf life, although efficacy depends on medium conductivity and scaling requires energy-intensive systems prone to electrode fouling. Thus, UV irradiation offers advantages in operational simplicity, lower capital requirements, and minimal sensory impact, making it suitable for short shelf life of premium juices where nutrient retention is prioritized. Combining UV with mild HPP (e.g., 200 MPa) or natural antimicrobials addressed its limitations while maintaining nutritional quality (Chutia and Mahanta, 2021).

Kinetic modeling of sugarcane juice over storage period

Microbiological properties (TPC, and yeast and mold counts), quality factors (pH), and antioxidant attributes (TPC, TFC, DPPH, and FRAP) were fitted to kinetic models via regression analysis (Table 5). Figure 5 illustrates correlations among properties in UV-treated sugarcane juice. Consistent with our findings, Pravallika et al. (2023) reported higher bioactive component retention in pulsed light-treated pomegranate juice versus thermally pasteurized samples, with principal component analysis effectively segregating treatments. Chutia and Mahanta (2021) similarly demonstrated that cold plasma treatment marginally increased tender -coconut water shelf life, with DPPH degradation following zero-order kinetics as observed in the current study.

Figure 4. (A) Total plate count, and (B) yeast and mold count of sugarcane juice treated with UV irradiation during cold storage.

Figure 5. Colorogram of the relationship between different properties of UV-treated sugarcane juice.

Shelf life prediction of sugarcane juice

Using kinetic modeling (Equations 1 and 4), shelf life was estimated from microbial counts, pH, and antioxidant levels (TPC, TFC, DPPH, and FRAP). With a 5 log CFU/mL microbial limit, Table 6 compares predicted shelf life for untreated, UV-treated, and pasteurized samples. UV treatment substantially extended the shelf life versus controls: pH-based shelf life increased from 2.3 to 8.4 days, DPPH-based shelf life increased from 3.2 to 7.0 days, and FRAP-based shelf life increased from 1.9 to 6.2 days. Flavonoid- and phenolic-based estimates increased from 2.0 to 7.4 days and 2.8 to 7.6 days, respectively, demonstrating UV’s efficacy in extending quality retention. Pasteurized samples showed the longest predicted shelf life, reflecting superior microbial control of thermal processing. Similar observations have been documented in prior research on lychee juice (Visuthiwan & Assatarakul, 2021) and mulberry juice (Shiekh et al., 2026).

Table 6. Predicted shelf life of sugarcane juice by integration of quality properties.

Properties Shelf life (day)
Control UV radiation Pasteurization
pH 3.7 11.2 11.7
DPPH 5.0 9.4 12.3
FRAP 3.8 9.8 12.5
Total flavonoid content 4.9 9.6 12.3
Total phenolic content 4.9 9.3 11.2
Total plate count 3.9 9.1 ND*
Mold and yeast count 3.9 9.7 ND

Note: ND: not determined (no microbial growth was detected during storage period).

Conclusion

This study demonstrates that UV-C irradiation at 149.76 J/cm2 represents a promising non-thermal alternative to pasteurization for sugarcane juice, achieving meaningful microbial reduction while better preserving heat-sensitive bioactive compounds. UV treatment extended refrigerated shelf life to 6 days (versus 4 days for untreated samples) with superior retention of TPC, TFC, and antioxidant activity. However, microbial reductions were modest (2.32 log for total plate count and 0.70 log for yeast and mold), and shelf life extension was limited, compared to pasteurization, which provided superior long-term microbial stability (no growth over 12 days). Key limitations include poor UV penetration in turbid, high-solids matrices such as sugarcane juice because of light scattering and absorption, absence of residual antimicrobial effects, and lack of direct absorbance/turbidity measurements in the present work. Thus, UV treatment is best suited for premium, short shelf life functional beverages where nutrient retention is prioritized over extended stability.

Data Availability Statement

Data in the current study (e.g., calibration curves for TPC [gallic acid], TFC [quercetin], DPPH, and FRAP [Trolox] assays, including linear regression equations and R2 values [all ≥0.995]) are available from the corresponding author upon reasonable request or as supplementary data online.

Mandatory Disclosure on Use of Artificial Intelligence

The authors acknowledge the use of Grok 3, an artificial intelligence tool developed by xAI, for assistance in paraphrasing sections of this manuscript to enhance clarity and reduce textual similarity. All AI-generated content was thoroughly reviewed and edited by the authors to ensure accuracy, originality, and alignment with the study’s objectives. All references have been manually verified for accuracy and relevance.

Author Contributions

Saeid Jafari conducted experiments, performed data analysis, managed data, and drafted the manuscript. Thanapat Trairattanasak carried out experiments, analyzed data, curated data, and contributed to the initial draft. Nathaphat Wattanalekawong executed research, conducted data analysis and handled data curation. Mohammad Fikry managed data and contributed to the drafting of manuscript. Isaya Kijpatanasilp, Ebtihal Khojah, Khadija S. Radhi, Nabila Y. Mahmoud Abdulmaguid, and Dharmendra K. Mishra contributed to manuscript review and editing. Kitipong Assatarakul conceptualized the study, curated the data, secured funding, and supervised project administration and research.

Conflicts of Interest

None to declare.

Acknowledgements

This research project was supported by Chulalongkorn University, the Second Century Fund (C2F), which funded Dr. Saeid Jafari’s C2F High-Potential Postdoctoral Fellowship. The authors extend their sincere appreciation to Taif University, Saudi Arabia and the Date Palm Research Center of Excellence at King Faisal University, Saudi Arabia, for their valuable support.

Funding

This work was supported by the Deanship of Scientific Research, Vice Presidency for Graduate Studies and Scientific Research, King Faisal University, Saudi Arabia (Grant No. KFU260961) and Department of Food Technology Faculty of Science, Chulalongkorn University.

REFERENCES

AOAC International. 2000. Official Methods of Analysis of AOAC International. 17th Edition, AOAC International, Gaithersburg, MD, USA.

Adulvitayakorn, S., Azhari, S.H., and Hasan, H. 2020. The effects of conventional thermal, microwave heating, and thermosonication treatments on the quality of sugarcane juice. Journal of Food Processing and Preservation 44(2):e14322. 10.1111/jfpp.14322

Aguilar-Rosas, S.F., Ballinas-Casarrubias, M.L., Nevarez-Moorillon, G.V., Martin-Belloso, O., and Ortega-Rivas, E. 2007. Thermal and pulsed electric fields pasteurization of apple juice: effects on physicochemical properties and flavour compounds. Journal of Food Engineering 83(1):41–46. 10.1016/j.jfoodeng.2006.12.011

Arif, S., Batool, A., Nazir, W., Khan, R.S., and Khalid, N. 2019. Physiochemical characteristics nutritional properties and health benefits of sugarcane juice. In: Non-Alcoholic Beverages. Woodhead Publishing, Cambridge, UK, pp. 227–257. 10.1016/B978-0-12-815270-6.00008-6

Assatarakul, K., Churey, J.J., Manns, D.C., and Worobo, R.W. 2012. Patulin reduction in apple juice from concentrate by UV radiation and comparison of kinetic degradation models between apple juice and apple cider. Journal of Food Protection 75(4):717–724. 10.4315/0362-028X.JFP-11-429

Bhat, R. 2016. Impact of ultraviolet radiation treatments on the quality of freshly prepared tomato (Solanum lycopersicum) juice. Food Chemistry 213:635–640. 10.1016/j.foodchem.2016.06.096

Bhat, R., and Stamminger, R. 2015. Impact of ultraviolet radiation treatments on the physicochemical properties, antioxidants, enzyme activity and microbial load in freshly prepared hand pressed strawberry juice. Food Science and Technology International 21(5):354–363. 10.1177/1082013214536708

Caminiti, I.M., Palgan, I., Muñoz, A., Noci, F., Whyte, P., Morgan, D.J., and Lyng, J.G. 2012. The effect of ultraviolet light on microbial inactivation and quality attributes of apple juice. Food and Bioprocess Technology 5:680–686. 10.1007/s11947-010-0365-x

Ceballos, M.W., Jafari, S., Fikry, M., Shiekh, K.A., Kijpatanasilp, I., and Assatarakul, K. 2025. Changes in quality attributes of coconut water treated with UV-radiation and nisin during cold storage: kinetics modelling and shelf-life prediction. Food Control 167:110801. 10.1016/j.foodcont.2024.110801

Chakraborty, S., and Shaik, L. 2023. Influence of matrix pH on batch thermal pasteurization of sweet lime juice: global kinetic models for Saccharomyces cerevisiae and polyphenol oxidase inactivation and degradation of vitamin C. Journal of Food Process Engineering 46(12):e14437. 10.1111/jfpe.14437

Chutia, H., and Mahanta, C.L. 2021. Influence of cold plasma voltage and time on quality attributes of tender coconut water (Cocos nucifera L.) and degradation kinetics of its blended beverage. Journal of Food Processing and Preservation 45(4):e15372. 10.1111/jfpp.15372

Cruz-Cansino, N., Ramírez-Moreno, E., León-Rivera, J.E., Delgado-Olivares, L., Alanís-García, E., Ariza-Ortega, J.A., and Jaramillo-Bustos, D.P. 2015. Shelf life, physicochemical, microbiological and antioxidant properties of purple cactus pear (Opuntiaficus indica) juice after thermo-ultrasound treatment. Ultrasonics Sonochemistry 27:277–286. 10.1016/j.ultsonch.2015.05.040

Dhenge, R., Langialonga, P., Alinovi, M., Lolli, V., Aldini, A., and Rinaldi, M. 2022. Evaluation of quality parameters of orange juice stabilized by two thermal treatments (helical heat exchanger and ohmic heating) and non-thermal (high-pressure processing). Food Control 141:109150. 10.1016/j.foodcont.2022.109150

Feng, M., Chitrakar, B., Chen, J., Islam, M.N., Wei, B., Wang, B., and Xu, B. 2022. Effect of multi-mode thermosonication on the microbial inhibition and quality retention of strawberry clear juice during storage at varied temperatures. Foods 11(17):2593. 10.3390/foods11172593

Fikry, M., Yusof, Y.A., Al-Awaadh, A.M., Baroyi, S.A.H.M., Ghazali, N.S.M., Kadota, K., and Al-Ghamdi, S. 2023. Assessment of physical and sensory attributes of date-based energy drink treated with ultrasonication: modelling changes during storage and predicting shelf life. Processes 11(5):1399. 10.3390/pr11051399

Food and Agriculture Organization (FAO). 2023. World Food and Agriculture–Statistical Yearbook 2023. FAO, Rome, Italy. 10.4060/cc8166en

Gayán, E., Condón, S., and Álvarez, I. 2014. Biological aspects in food preservation by ultraviolet light: a review. Food and Bioprocess Technology 7:1–20. 10.1007/s11947-013-1168-7

Jafari, S., Shiekh, K.A., Jambrak, A.R., Worobo, R.W., Bekhit, A.A., Maqsood, S., Kijpatanasilp, I., Ebrahimi, M., and Assatarakul, K. 2024. Hurdle technologies using ultraviolet irradiation as preservation strategies in fruit juices: effects on microbial, physicochemical, and sensorial qualities. Food and Bioprocess Technology. 10.1007/s11947-024-03385-1

Jafari, S., Thongmat, K., Kijpatanasilp, I., Kerdsup, P., Naknaen, P., Taweechotipatr, M., and Assatarakul, K. 2022. Phenolic compound profile of probiotic (Lacticaseibacillus rhamnosus LR5) fortified vegetable tablet and probiotic survival in the simulated gastrointestinal tract. Scientific Reports 12(1):1014. 10.1038/s41598-022-04874-z

Jafari, S., Shiekh, K.A., Jambrak, A.R., Worobo, R.W., Bekhit, A.A., Maqsood, S., Kijpatanasilp, I., Ebrahimi, M., and Assatarakul, K. 2024. Hurdle technologies using ultraviolet irradiation as preservation strategies in fruit juices: effects on microbial, physicochemical, and sensorial qualities. Food and Bioprocess Technology 18(1):1–21. 10.1007/s11947-024-03385-1

Kaavya, R., Pandiselvam, R., Kothakota, A., BanuuPriya, E.P., and Arun Prasath, V. 2019. Sugarcane juice preservation: a critical review of the state of the art and way forward. Sugar Technology 21:9–19. 10.1007/s12355-018-0622-2

Kaya, Z., Yıldız, S., and Ünlütürk, S. 2015. Effect of UV-C irradiation and heat treatment on the shelf life stability of a lemon–melon juice blend: multivariate statistical approach. Innovative Food Science & Emerging Technologies 29:230–239. 10.1016/j.ifset.2015.03.005

Kijpatanasilp, I., Narumonlittikrai, P., Sheikh, K.A., Jafari, S., Worobo, R.W., and Assatarakul, K. 2023a. Microbial inhibition and shelf-life extension of longan (Dimocarpuslongan) juice by UV radiation. Food Control 149:109694. 10.1016/j.foodcont.2023.109694

Kijpatanasilp, I., Shiekh, K.A., Jafari, S., Worobo, R.W., and Assatarakul, K. 2023b. Microbial inhibition by UV radiation combined with nisin and shelf-life extension of tangerine juice during refrigerated storage. Foods 12(14):2725. 10.3390/foods12142725

Kohli, G., Jain, G., Bisht, A., Upadhyay, A., Kumar, A., and Dabir, S. 2019. Effect of non-thermal hurdles in shelf life enhancement of sugarcane juice. Food Science and Technology (LWT). 112:108233. 10.1016/j.lwt.2019.05.131

Koutchma, T. 2022. Validation of light-based processes. In: Validation of Food Preservation Processes Based on Novel Technologies. Academic Press, London, pp. 113–167. 10.1016/B978-0-12-815888-3.00005-1

La Cava, E.L., and Sgroppo, S.C. 2015. Evolution during refrigerated storage of bioactive compounds and quality characteristics of grapefruit [Citrus paradisi (Macf.)] juice treated with UV-C light. Food Science and Technology (LWT). 63(2):1325–1333. 10.1016/j.lwt.2015.04.013

Mansur, A.R., Lee, H. S., and Lee, C.J. 2023. A review of the efficacy of ultraviolet-C irradiation for decontamination of pathogenic and spoilage microorganisms in fruit juices. Journal of Microbiology and Biotechnology 33(4):419. 10.4014/jmb.2212.12022

Ochoa-Velasco, C.E., and Beltrán, J.Á.G. 2013. Short-wave ultraviolet-C light effect on pitaya (Stenocereus griseus) juice inoculated with Zygosaccharomyces bailii. Journal of Food Engineering 117(1):34–41. 10.1016/j.jfoodeng.2013.01.020

Pravallika, K., Shaik, L., and Chakraborty, S. 2023. Changes in the quality attributes of pulsed light and thermally pasteurized pomegranate (Punica granatum) juice stored at refrigerated condition (4°C). Journal of Food Measurement and Characterization 17(6):6620–6638. 10.1007/s11694-023-02132-y

Shamsudin, R., Adzahan, N.M., Yee, Y.P., and Mansor, A. 2014. Effect of repetitive ultraviolet irradiation on the physico-chemical properties and microbial stability of pineapple juice. Innovative Food Science & Emerging Technologies 23:114–120. 10.1016/j.ifset.2014.02.005

Shiekh, K. A., Uaphua, N., Fikry, M., Jafari, S., Kijpatanasilp, I., Mir, N., ... & Assatarakul, K. (2026). Modeling Storage Stability and Shelf-Life of Mulberry Juice: Impact of Ultraviolet and Thermal Pasteurization on Quality During Refrigerated Storage. Food Control, 111985. 10.1016/j.foodcont.2026.111985

Tiwari, B.K., O’donnell, C.P., and Cullen, P.J. 2009. Effect of non-thermal processing technologies on the anthocyanin content of fruit juices. Trends in Food Science & Technology 20(3–4):137–145. 10.1016/j.tifs.2009.01.058

Unluturk, S., and Atilgan, M.R. 2015. Microbial safety and shelf life of UVC treated freshly squeezed white grape juice. Journal of Food Science 80(8):M1831–M1841. 10.1111/1750-3841.12952

Visuthiwan, S., and Assatarakul, K. 2021. Kinetic modeling of microbial degradation and antioxidant reduction in lychee juice subjected to UV radiation and shelf life during cold storage. Food Control 123:107770. 10.1016/j.foodcont.2020.107770

Wai, H.H., Shiekh, K.A., Jafari, S., Kijpatanasilp, I., and Assatarakul, K. 2024. Ultraviolet irradiation as alternative non-thermal cold pasteurization to improve quality and microbiological parameters of mango juice during cold storage. International Journal of Food Microbiology 415:110632. 10.1016/j.ijfoodmicro.2024.110632

Weber, C., Marchat, L.A., Guillen, N., and López-Camarillo, C. 2009. Effects of DNA damage induced by UV irradiation on gene expression in the protozoan parasite Entamoebahistolytica. Molecular and Biochemical Parasitology 164(2):165–169. 10.1016/j.molbiopara.2008.12.005

Yingkamhaeng, N., and Vanichsriratana, W. 2024. Current situation and trends in Thailand’s sugarcane sector. Sugar Technology 26(4):1088–1095. 10.1007/s12355-024-01457-2